Comprobación del modelo de comprensión lectora directo y de la mediación inferencial en alumnado español

##plugins.themes.bootstrap3.article.main##

Juan Martínez-Cubelos jmartinezcubelos@gmail.com
Juan-Cruz Ripoll-Salceda juancruzripoll@maristaspamplona.es

Resumen

El modelo directo y de la mediación inferencial (DIME) propone que la comprensión lectora es el resultado de las interacciones entre los conocimientos previos, la lectura de palabras, el vocabulario, las estrategias de comprensión y la habilidad inferencial. En este estudio se comprobó su ajuste a través del modelado de ecuaciones estructurales en una muestra de 241 estudiantes españoles de 5.º y 6.º de Educación Primaria. El modelo mostró un ajuste adecuado explicando el 60.5% de la varianza de la comprensión lectora de textos expositivos usando pruebas de dominio general para medir los componentes predictores. Los conocimientos previos fueron el componente con mayor efecto total sobre la comprensión lectora, seguido del vocabulario, la habilidad inferencial y las estrategias de comprensión. El efecto total de la lectura de palabras no fue significativo. Los efectos directos e indirectos sobre la comprensión lectora de los conocimientos previos, el vocabulario y las estrategias de comprensión fueron significativos. Los efectos directos desde los conocimientos previos hasta las estrategias de comprensión y desde el vocabulario hasta las estrategias de comprensión no fueron significativos. Los hallazgos encontrados tienen implicaciones importantes en el diseño de programas de intervención para la mejora de la comprensión lectora.

Descargas

Los datos de descargas todavía no están disponibles.

##plugins.themes.bootstrap3.article.details##

Cómo citar
Martínez-Cubelos, J., & Ripoll-Salceda, J.-C. (2026). Comprobación del modelo de comprensión lectora directo y de la mediación inferencial en alumnado español. Ocnos, 25(1). https://doi.org/10.18239/ocnos_2026.25.1.547
Sección
Artículos
Martínez-Cubelos and Ripoll-Salceda: Comprobación del modelo de comprensión lectora directo y de la mediación inferencial en alumnado español

Introducción

La comprensión lectora es una actividad cognitiva tremendamente compleja que consiste en la construcción de una representación mental coherente de la información de los textos (). Su desarrollo es una de las tareas más importantes de toda la escolaridad, ya que es imprescindible para acceder a los conocimientos de las distintas áreas curriculares. Sin embargo, en la práctica educativa no es fácil diseñar programas eficaces para su mejora. Considerar las evidencias científicas es un primer paso necesario, pero para la mayoría de docentes puede resultar complicado por dos razones: por un lado, no han sido formados para analizar de forma crítica los estudios publicados y, por otro, la cantidad de información que hay que revisar es abrumadora. Una forma de solventar este problema, al menos en parte, es tener en cuenta los modelos de comprensión lectora basados en componentes. Estos sintetizan los resultados de las investigaciones y describen cuáles son las habilidades y los conocimientos sobre los que se debe incidir para mejorar la comprensión lectora y que conviene evaluar en el caso de observar dificultades. Un modelo que ha tenido gran repercusión por lo sencillo de su formulación y cercanía a la acción docente es la concepción simple de la lectura (CSL).

La CSL () propone que la comprensión lectora es el resultado de la interacción entre dos componentes: la descodificación y la comprensión general del lenguaje. El modelo DIME, aunque se sustenta en la CSL, es más complejo, ya que además de la descodificación, denominada lectura de palabras, y la comprensión general del lenguaje, representada por el vocabulario, incluye otros componentes: los conocimientos previos, la habilidad inferencial y las estrategias de comprensión (). En el ámbito educativo contar con un modelo que incorpora más variables y sus interrelaciones es de gran interés porque podría ayudar a desarrollar programas de intervención más precisos.

El modelo DIME () se define “directo” porque todos sus componentes influyen de forma directa en la comprensión lectora y “de la mediación inferencial” porque la mayoría, a excepción de la lectura de palabras, también lo hacen de forma indirecta a través de la habilidad inferencial. El modelo presupone que los conocimientos previos tienen un efecto directo sobre la comprensión lectora en el caso de la información literal, pero también indirecto cuando el texto requiere la construcción de inferencias. El vocabulario tiene un efecto directo sobre la comprensión lectora, ya que no saber el significado de una palabra dificulta la comprensión literal, pero también indirecto, puesto que no conocer el sinónimo de una palabra impide establecer una relación inferencial entre esa palabra y su referente. Las estrategias de comprensión tienen un efecto directo e indirecto sobre la comprensión lectora, puesto que realizar un resumen puede ayudar a construir inferencias que conllevan una mejor comprensión.

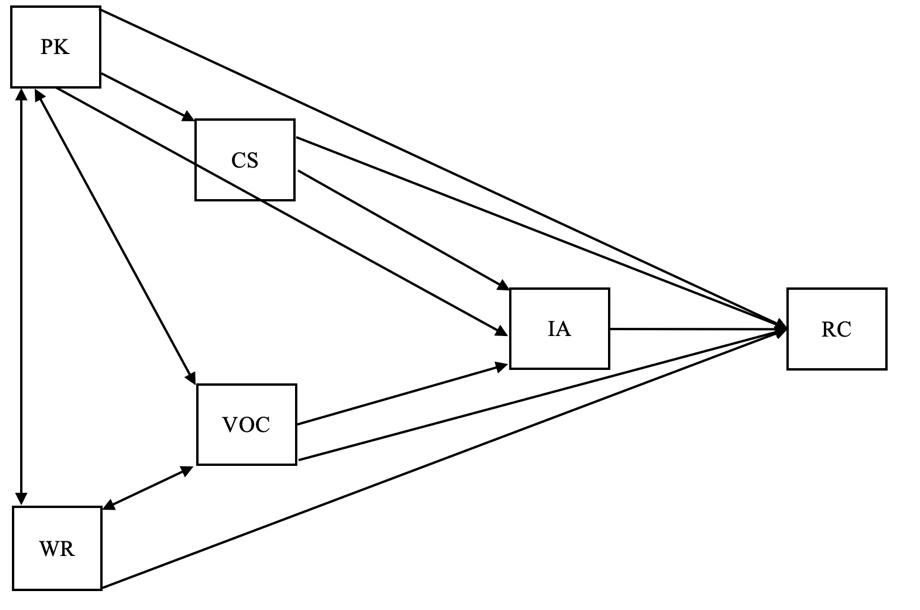
La primera formulación del modelo DIME fue propuesta por . En el procedimiento para su construcción se realizó una revisión bibliográfica en la cual se admitieron estudios en los que participaban estudiantes de lengua inglesa desde 4.º curso de Educación Primaria (EP). Para establecer los senderos unidireccionales, o efectos directos, propusieron como criterio que al menos un estudio experimental o cuasiexperimental debía mostrar que la intervención centrada en un componente del modelo tenía un efecto sobre otro. En los casos en los cuales no fue posible establecer un sendero unidireccional atendiendo a este criterio, se buscaron estudios para dar soporte a un sendero bidireccional o correlacional. Los autores comprobaron el ajuste de cuatro variaciones del modelo justificadas por los senderos unidireccionales en los cuales las evidencias fueron débiles o contradictorias. En la figura 1 se puede consultar el modelo que mejor se ajustó a los datos de 177 estudiantes de lengua inglesa de 3.º de Educación Secundaria Obligatoria (ESO).

Figura 1Modelo con mejor ajuste en  
Figura 1. Modelo con mejor ajuste en Cromley y Azevedo (2007).

El modelo DIME se ha intentado reproducir en lengua española siguiendo un procedimiento similar al utilizado por . Sin embargo, únicamente se han encontrado evidencias para los senderos unidireccionales que van desde las estrategias de comprensión, la habilidad inferencial y el vocabulario hasta la comprensión lectora; y desde los conocimientos previos y las estrategias de comprensión hasta la habilidad inferencial ().

estudiaron la versión con mejor ajuste en comparándola con una modificación que incluía un nuevo sendero unidireccional desde el vocabulario hasta las estrategias de comprensión. La versión modificada fue la que mejor se ajustó a los datos de 737 estudiantes universitarios de lengua inglesa. Se han encontrado resultados similares en otros tres estudios; dos en lengua inglesa y uno en lengua alemana (; ; ).

De forma general, los hallazgos encontrados en las investigaciones previas indican que el modelo DIME es útil para explicar la comprensión lectora de textos tanto narrativos como expositivos; aun existiendo diferencias importantes entre sus características. Los textos expositivos son más difíciles de comprender y se recuerdan peor, ya que incluyen vocabulario específico y temas especializados (). Los resultados también muestran que los componentes predictores más importantes son los conocimientos previos y el vocabulario. Sin embargo, se debe tener en cuenta que en el estudio el predictor con mayor peso fue la lectura de palabras, probablemente, porque los participantes presentaban dificultades de descodificación.

A pesar de los avances en el estudio de este modelo todavía no ha sido investigada su aplicabilidad en alumnado de lengua española. Adoptar un modelo cuyas evidencias se basan en otra lengua puede resultar aventurado, ya que pueden estar condicionadas por las características del sistema ortográfico. En los sistemas irregulares, como el inglés, la lectura de palabras presenta mayor relación con la comprensión lectora, ya que los lectores requieren de más tiempo que en los transparentes, como el español, para alcanzar altos niveles de precisión lectora (; ).

En esta investigación se comprobó el ajuste del modelo DIME en estudiantes españoles de 5.º y 6.º curso de EP. Se tuvo en cuenta como modelo a priori el que mostró mejor ajuste en . Los participantes se seleccionaron de estos cursos, ya que en la comprobación de otros modelos como la CSL se ha encontrado que durante los primeros cursos de EP la lectura de palabras es la variable que más contribuye a la comprensión lectora; mientras que en cursos superiores es la comprensión general del lenguaje (; ; ). Debido a que el modelo DIME es más complejo que la CSL, su comprobación en cursos superiores va a permitir saber de forma más específica qué variables, y en qué medidas, contribuyen a la comprensión lectora más allá de la comprensión general del lenguaje.

Con el propósito de comprobar si las habilidades lingüísticas generales del alumnado son suficientes para comprender los textos típicos del área de Conocimiento del Medio, se utilizó una prueba de comprensión lectora de textos expositivos. Además, los componentes predictores se evaluaron con pruebas de dominio general, puesto que no estaban relacionados con los contenidos de los textos utilizados para medir la comprensión lectora. La aplicabilidad del modelo DIME para explicar la comprensión de textos expositivos encontrada en los estudios previos podría estar condicionada por la especificidad de las medidas utilizadas. En se midieron todos los componentes predictores con pruebas de dominio específico, ya que estaban relacionados con los contenidos del texto de la prueba de comprensión, y en se evaluaron los conocimientos previos con una prueba de dominio específico. En investigaciones no basadas en el modelo DIME, se ha encontrado que cuando se consideran conocimientos de dominio específico la fuerza de la relación con la comprensión lectora es mayor que si se valoran conocimientos de dominio general (; ). Además, la enseñanza de vocabulario de dominio específico tiene un efecto directo sobre la comprensión lectora (); mientras que es irrelevante cuando el vocabulario es de dominio general ().

Para aportar evidencias sobre estas cuestiones se plantearon los siguientes objetivos:

  • − Comprobar si el modelo DIME se puede aplicar para explicar la comprensión lectora de textos expositivos en alumnado español de 5.º y 6.º curso de EP.
  • − Conocer cuáles son los efectos sobre la comprensión lectora de los componentes predictores del modelo DIME en estudiantes españoles de 5.º y 6.º curso de EP.

Método

Participantes

Se utilizó una muestra constituida por 122 niñas y 119 niños de 5.º (n = 135; M edad = 10.40 años; DT = 0.52) y 6.º curso de EP (n = 106; M edad = 11.43 años; DT = 0.54). La muestra se seleccionó de cuatro centros educativos públicos de la comunidad autónoma de La Rioja (España) a través de la técnica de muestreo por conveniencia; dos urbanos y dos centros rurales agrupados. Se excluyeron los datos de 11 participantes debido a que no contaban con las habilidades elementales necesarias para realizar las pruebas de evaluación escritas sin adaptaciones.

Medidas

  • − Test colectivo de eficacia lectora (TECLE) (). Está formado por 64 ítems que consisten en una oración a la cual le falta la última palabra. Se debe elegir entre cuatro opciones la palabra que completa adecuadamente la oración. El tiempo límite para completar el mayor número de ítems fue de 5 minutos. Se otorgó 1 punto por cada ítem correcto siendo la puntuación mínima de 0 y la máxima de 64. Para reducir el impacto de los aciertos obtenidos por azar, la puntuación final se estimó como el número de aciertos menos el número de errores dividido entre tres (). En el manual de la versión uruguaya se indica que la fiabilidad medida con el método test-retest es de .88 y la validez convergente, usando como variable criterio un test de fluidez lectora, de .80 (). En este estudio la fiabilidad fue de .95 medida con el alfa de Cronbach (AC), .96 con el coeficiente Omega McDonald (OM), .97 con el índice de Fiabilidad Compuesta (FC) y .41 con la Varianza Media Extractada (VME). Aunque la VME fue inferior a .50, se puede asumir que la fiabilidad fue adecuada, ya que se ha sugerido que un valor de FC superior a .70 es suficiente. La VME es un indicador demasiado estricto y tiende a rechazar modelos con cargas factoriales bajas ().
  • − Normas de conocimientos generales (). La prueba está constituida por 132 ítems que son preguntas abiertas de respuesta corta. Debido a que está validada con estudiantes universitarios y que los ítems están organizados en orden de dificultad creciente se utilizó una versión abreviada constituida por los primeros 41 ítems. Se otorgó 1 punto por cada respuesta correcta siendo la puntuación mínima de 0 y la máxima de 41. En un pilotaje realizado con estudiantes españoles de 6.º curso de EP la fiabilidad medida a través del AC fue de .82 (n = 56). La validez convergente utilizando como variable criterio las calificaciones de las áreas de Ciencias Naturales y Ciencias Sociales fue de .48 y .29 (n = 27). En este estudio se asume que la fiabilidad fue adecuada: AC = .86, OM = .86, FC = .90 y VME = .20.
  • − Subprueba de vocabulario de la batería de pruebas de evaluación analítica de lengua escrita (PEALE) (). Se compone de 42 ítems formados por una palabra objetivo y tres palabras que son las opciones de respuesta. El participante debe seleccionar la palabra con el significado más parecido a la palabra objetivo. Se otorgó 1 punto por cada ítem correcto siendo la puntuación mínima de 0 y la máxima de 42. Para reducir el impacto de los aciertos obtenidos por azar, la puntuación final se estimó como el número de aciertos menos el número de errores dividido entre dos (). Esta prueba ha sido utilizada en distintas investigaciones obteniéndose una fiabilidad de .90 y .97 con el AC y de .90 y .99 con la prueba de dos mitades (; ). En este estudio se asume que la fiabilidad fue adecuada: AC = .75, OM = .86, FC = .87 y VME = .17.
  • − Escala de conciencia lectora (ESCOLA) (). Se trata de una prueba de autoinforme que utiliza un formato de selección múltiple con tres alternativas para evaluar las estrategias de comprensión. Permiten conocer “cómo los lectores se perciben” y “cómo creen que actuarían” ante una determinada situación. En esta investigación se aplicó la versión abreviada 28B, ya que el manual recomienda no usar la versión completa cuando los participantes tienen 10 o menos años. La puntuación mínima que se puede obtener es de 0 y la máxima de 56. En el manual se indica que la fiabilidad medida con el AC es de .81 y la validez convergente, usando como variable criterio un test de metacognición, de .72. En este estudio se asume que la fiabilidad fue pobre: AC = .56, OM = .56, FC = .67 y VME = .10.
  • − Prueba oral de inferencias. Debido a que no existe una prueba de referencia o comúnmente utilizada para evaluar la habilidad inferencial en español, fue diseñada por el segundo autor de este estudio. La versión completa está formada por 38 ítems que incluyen un breve enunciado seguido de una pregunta abierta de respuesta corta. Los ocho primeros ítems requieren la construcción de inferencias para establecer relaciones entre referencias y referentes, los siguientes 11 ítems para identificar relaciones causa-efecto no explícitas, los siguientes 13 ítems para hacer predicciones sobre los sucesos del texto y los últimos seis ítems para responder a preguntas cuya respuesta no aparece en el enunciado de forma explícita. Se concedió 1 punto por cada respuesta correcta, siendo la puntuación mínima de 0 y la máxima de 38. En un pilotaje realizado con 71 estudiantes peruanos de 5.º y 6.º curso de EP la fiabilidad evaluada con el AC fue de .74. En este estudio se asume que la fiabilidad fue pobre: AC = .62, OM = .63, FC = .70 y VME = .10. La validez convergente fue de .46 utilizando como variable criterio las preguntas inferenciales de la subprueba de comprensión de textos de la batería de evaluación de los procesos lectores (PROLEC-SE) ().
  • − PROLEC-SE (). Esta prueba consta de dos textos expositivos; cada uno seguido de cinco preguntas literales y cinco inferenciales. Se otorgó 1 punto por cada respuesta correcta siendo la puntuación mínima de 0 y la máxima de 20. En el manual se expone que la fiabilidad es de .85 evaluada con el AC y la validez convergente de .23 utilizando como variable criterio la puntuación otorgada por los profesores en una escala sobre la capacidad lectora de los estudiantes. En este estudio se asume que la fiabilidad fue adecuada: AC = .76, OM = .77, FC = .80 y VME = .18.

Procedimiento

Los datos se recopilaron durante los meses de marzo, abril y mayo de 2019 previa autorización de la Consejería de Educación de La Rioja (España), el Comité de Ética para la Investigación de la Universidad de Navarra (España) y las familias. Los instrumentos de evaluación fueron aplicados de forma grupal por el investigador principal de este estudio en dos sesiones de aproximadamente 60 minutos.

Análisis de datos

Antes de probar el ajuste del modelo, se inspeccionó la base de datos para identificar y gestionar los valores atípicos. Además, se comprobó que los datos cumplían los supuestos requeridos en los análisis de ruta. Los valores atípicos univariados se identificaron usando la desviación absoluta de la mediana y los multivariados el determinante de covarianza mínima (). El supuesto de normalidad univariada se verificó examinando los coeficientes de asimetría y curtosis, la normalidad multivariada a través del coeficiente de curtosis Mardia, la homocedasticidad con las pruebas estadísticas de Breusch-Pagan y White, la ausencia de multicolinealidad a través del factor de inflación de la varianza (VIF) y la linealidad por medio de un diagrama de dispersión de los residuos y los valores predichos estandarizados de la variable dependiente.

Una vez verificados los supuestos de la base de datos se realizó un análisis de ruta para comprobar si el modelo DIME se puede aplicar para explicar la comprensión lectora de textos expositivos en alumnado de lengua española de 5.º y 6.º curso de EP. Se puso a prueba un modelo de ecuaciones estructurales con variables observadas. Los análisis estadísticos se realizaron con el programa informático SPSS Amos (versión 23). Se usó el método de máxima verosimilitud, ya que es el más habitual cuando los datos son continuos y siguen una distribución multivariada normal. Para verificar el ajuste del modelo se tuvo en cuenta el índice de ajuste chi-cuadrado/grados de libertad ( χ 2 /gl), el error de aproximación cuadrático medio (RMSEA), el residuo cuadrático medio estandarizado (SRMR), el índice de ajuste comparativo (CFI) y el índice de Tucker Lewis (TLI). Se consideró que el modelo era una aproximación plausible a los datos cuando: χ 2 /gl < 3, RMSEA ≤ .08, SRMR ≤ .08, CFI ≥ .90 y TLI ≥ .90 ().

Para conocer los efectos sobre la comprensión de los componentes predictores, los valores de los senderos bidireccionales se calcularon como correlaciones (r) y los valores de los senderos unidireccionales, o efectos directos, como coeficientes de regresión estandarizados (β). Este coeficiente indica la cantidad de cambio, en puntuaciones típicas, que se produce en la variable dependiente por cada cambio de una unidad en la correspondiente variable independiente manteniendo constantes el resto (). También se estimaron como β los efectos indirectos sobre la comprensión lectora, es decir, aquellos que estaban mediados por otros componentes, y los efectos totales, siendo estos la suma de los efectos directos e indirectos. Debido a que el programa SPSS Amos no calcula los errores estándar, los intervalos de confianza y los valores p asociados a los parámetros mencionados, para conocer su significación se utilizó el método bootstrapping configurando los intervalos de confianza al 95% y el número de muestras de arranque en 1499 ().

Resultados

Inspección de la base de datos

Para garantizar que la posible presencia de valores atípicos no era consecuencia de errores en la corrección de las pruebas de evaluación, se valoró la fiabilidad de este procedimiento considerando los datos de la habilidad inferencial y la comprensión lectora, puesto que su corrección requiere la interpretación de las respuestas. Se estimó el grado de acuerdo entre evaluadores a través del coeficiente de correlación intraclase, obteniéndose valores excelentes (.98 y .97). Además, se revisó la base de datos para identificar errores al introducir las puntuaciones y se examinaron los estadísticos descriptivos para detectar puntuaciones fuera de rango en las escalas de las pruebas de evaluación. En la tabla 1 se puede observar que en todos los casos las puntuaciones mínimas y máximas obtenidas se encontraban dentro de los rangos esperados.

Tabla 1Estadísticos descriptivos 
P. mínima P. máxima M DT
Lectura de palabras 17 64 45.01 11.58
Conocimientos previos 1 32 14.29 6.32
Vocabulario 9 39 29.15 5.93
Estrategias de comprensión 20 53 40.96 5.20
Habilidad inferencial 13 27 21.47 2.74
Comprensión lectora 0 17 7.63 3.89

Nota M = media; DT = desviación típica.

Se identificaron 15 valores atípicos univariados que fueron recodificados a las puntuaciones mínimas y máximas aceptadas y seis valores atípicos multivariados que se retuvieron en la base de datos, ya que se comprobó que no eran problemáticos a través de un análisis multigrupo de invariancia (). Los coeficientes de asimetría y curtosis se situaron entre −0.83 y 0.23, el coeficiente de curtosis Mardia fue −2.5613, los valores p asociados a los estadísticos de las pruebas de Breusch-Pagan y White fueron .11 y .41 y los valores del VIF variaron entre 1.068 y 1.945. Por tanto, los datos cumplían los supuestos de normalidad univariada, normalidad multivariada, homocedasticidad y multicolinealidad. También cumplían el supuesto de linealidad, ya que en el diagrama los residuos se dispersaban de forma aleatoria alrededor de la línea horizontal de los valores estandarizados predichos de la variable dependiente.

Aplicabilidad del modelo DIME en español

Los hallazgos sugieren que el modelo DIME se puede aplicar para explicar la comprensión lectora de textos expositivos en estudiantes españoles de 5.º y 6.º de EP, puesto que los índices de ajuste cumplían los criterios de corte propuestos habitualmente para aceptar un modelo: χ 2 /gl = 2.6, RMSEA = .08, SRMR = .03, CFI = .90 y TLI = .95. El modelo explicó el 60.5% de la varianza de la comprensión lectora.

Efectos sobre la comprensión lectora

Los efectos directos (β), asociados a los senderos unidireccionales, sobre la comprensión lectora fueron significativos, exceptuando el correspondiente a la lectura de palabras, con valores desde pequeños (≥ .02 y < .15) a grandes (≥ .35). Los efectos indirectos (β) fueron todos significativos siendo sus valores pequeños (≥ .02 y < .15). Los efectos totales (β) también fueron todos significativos con valores desde pequeños (≥ .02 y < .15) a grandes (≥ .35) (). En la Tabla 2 se pueden consultar de forma detallada los efectos directos, indirectos y totales. En el diagrama de ruta de la figura 2 se presentan los valores de los senderos bidireccionales (r) y de los senderos unidireccionales (β).

Tabla 2Efectos estandarizados sobre la comprensión lectora 
Predictores Efectos directos Efectos indirectos Efectos totales
Lectura de palabras −.04
Conocimientos previos .47** .06** .53**
Vocabulario .25** .06** .31**
Estrategias de comprensión .10* .02* .12**
Habilidad inferencial .19**

Nota. ** p < .01; * p < .05.

Figura 2Valores de las correlaciones y de los efectos directos 
Figura 2. Valores de las correlaciones y de los efectos directos

Discusión

El ajuste del modelo DIME fue adecuado mostrando que las habilidades lingüísticas generales del alumnado de 5.º y 6.º curso de EP son suficientes para comprender los textos típicos del área de Conocimiento del Medio. El modelo explicó el 60.5% de la varianza de la comprensión lectora, resultado superior al encontrado en con el análisis de ruta (entre el 36 y el 58%) y en en 3.º de EP (57%). Sin embargo, fue levemente inferior al hallado en con la versión que mejor se ajustó a los datos (65.7%) y en en 4.º de EP (61%). En la modificación de (92.8%) y en en 5.º de EP (100%), la varianza explicada fue sustancialmente superior. No se pueden hacer comparaciones con el estudio de , puesto que no se aporta información sobre el porcentaje explicado por el modelo. Estos hallazgos sugieren que cuando se consideran habilidades lingüísticas de dominio específico la fuerza de la relación con la comprensión lectora es mayor que si se valoran habilidades de dominio general. En el modelo explicó el 92.8% de la varianza utilizando únicamente pruebas de domino específico; mientras que en esta investigación dio cuenta del 60.5% usando medidas de dominio general.

Por otra parte, el efecto total más importante sobre la comprensión lectora se asoció a los conocimientos previos. Además, su efecto directo y efecto indirecto, mediado por la habilidad inferencial, fueron significativos. Estos hallazgos sugieren que los conocimientos previos contribuyen directamente a la comprensión lectora cuando el texto no requiere ir más allá de la información explícita y de forma indirecta cuando requiere la construcción de inferencias. Una explicación plausible de la importancia de contar con conocimientos sobre el tema del texto, cuando no requiere la construcción de inferencias, es que permiten al lector centrar la atención en las ideas importantes; en aquellos casos en los cuales son necesarias, facilitan integrar la información estableciendo relaciones entre partes del texto que parecen inconexas. Se debe tener en cuenta que en esta investigación el efecto directo de los conocimientos previos sobre las estrategias de comprensión no fue significativo.

En se encontraron resultados similares, puesto que el efecto total más importante sobre la comprensión lectora también se asoció a los conocimientos previos. En no se aporta información sobre los efectos totales, sin embargo, de la misma forma que en este estudio, el efecto directo de los conocimientos previos sobre la comprensión lectora fue el más relevante. Los resultados hallados también concuerdan, parcialmente, con los de . En este estudio los conocimientos previos fueron el segundo predictor más importante después del vocabulario. No obstante, en contraste con el resultado no significativo obtenido en este estudio, en las tres investigaciones mencionadas el efecto directo de los conocimientos previos sobre las estrategias de comprensión fue significativo.

Es razonable asumir que los conocimientos previos cumplen un papel importante en la puesta en marcha de algunas estrategias de comprensión lectora, por ejemplo, para detectar información incoherente en un texto es necesario contar con ciertos conocimientos sobre los contenidos tratados. Una posible explicación del efecto directo no significativo encontrado en este estudio son las pruebas de evaluación utilizadas para medir las estrategias de comprensión y los conocimientos previos, ya que no estaban relacionadas. Esta hipótesis se ve reforzada considerando que los efectos directos fueron significativos tanto en como en utilizando pruebas relacionadas. En ambos estudios, los lectores tenían que aplicar estrategias de comprensión sobre textos relacionados con los contenidos de la prueba de conocimientos. No obstante, se debe tener en cuenta que la justificación planteada no se sustenta considerando los hallazgos de , puesto que el efecto directo fue significativo utilizando una medida no relacionada.

En esta investigación el segundo predictor con mayor efecto total sobre la comprensión lectora fue el vocabulario. Además, su efecto directo y efecto indirecto, mediado por la habilidad inferencial, fueron significativos. Estos hallazgos apoyan la hipótesis de que los lectores necesitan conocer el significado de las palabras no solo para comprender la información literal; sino también para dar cohesión al texto construyendo inferencias en las cuales se establecen relaciones semánticas entre referencias y referentes. Se debe considerar que el efecto directo del vocabulario sobre las estrategias de comprensión encontrado en este estudio no fue significativo.

Estos resultados concuerdan con los encontrados en , puesto que el efecto total sobre la comprensión lectora más importante también se asoció al vocabulario. En , de la misma forma que en esta investigación, el efecto directo sobre la comprensión lectora más relevante se vinculó al vocabulario. Los resultados coinciden parcialmente con los obtenidos en y , puesto que en ambos casos el vocabulario fue el componente con mayor efecto total.

Del mismo que en este estudio, en el efecto directo del vocabulario sobre las estrategias de comprensión no fue significativo en ninguno de los cursos; mientras que en fue significativo únicamente en uno de los cursos. Estos resultados contrastan con los efectos directos significativos hallados tanto en como en . Actualmente pocas investigaciones, más allá de las centradas en el modelo DIME, se han interesado en explicar los motivos por los cuales el vocabulario es importante para usar determinadas estrategias de comprensión. No obstante, se puede asumir que conocer el significado de las palabras de un texto juega un papel determinante para realizar un resumen coherente del mismo. Igualmente, es necesario conocer el significado de las palabras que constituyen el título de un texto para poder predecir su contenido o activar conocimientos previos.

Una posible explicación del efecto directo no significativo del vocabulario sobre las estrategias de comprensión encontrado en este estudio, y son las pruebas de evaluación utilizadas, puesto que no estaban relacionadas. Esta idea toma mayor fuerza al considerar que en el efecto fue significativo usando pruebas relacionadas, ya que el vocabulario evaluado eran palabras que formaban parte de los textos en los cuales los lectores tenían que aplicar estrategias de comprensión. No obstante, se debe considerar que esta explicación no se sustenta considerando los hallazgos de , ya que se usaron pruebas no relacionadas siendo el efecto directo significativo.

En esta investigación el tercer efecto total más importante sobre la comprensión lectora se asoció a la habilidad inferencial. Se debe considerar que este efecto se corresponde con el efecto directo, puesto que este componente no tiene efectos mediados por otros. El resultado encontrado coincide con y , pero no con , ya que, inesperadamente, el efecto no fue significativo. Probablemente se pueda explicar porque este componente se midió usando una prueba de analogías visuales.

Tanto en este estudio como en y , el cuarto predictor con mayor efecto total sobre la comprensión lectora fueron las estrategias de comprensión. Además, su efecto directo y efecto indirecto, a través de la habilidad inferencial, fueron significativos. Estos hallazgos apoyan la idea de que las estrategias de comprensión no solo facilitan la comprensión literal; sino también la comprensión inferencial. Se puede pensar que elaborar resúmenes, organizadores gráficos o volver a leer una parte del texto cuando se identifican errores de comprensión, permite realizar inferencias que se pasaron por alto durante la primera lectura del texto.

La lectura de palabras fue el único predictor de la comprensión lectora con un efecto total no significativo. Se debe tener en cuenta que este efecto se corresponde con el efecto directo, puesto que este componente no tiene efectos mediados por otros. Este resultado replica los encontrados en y, parcialmente, en , puesto que el efecto fue significativo, pero el menos importante. No obstante, estos hallazgos contrastan con los encontrados en , puesto que la lectura de palabras fue el predictor más importante en dos de los tres cursos. Probablemente la razón es que los estudiantes cursaban niveles educativos inferiores a los considerados en el resto de estudios sobre el modelo DIME. Hay numerosas evidencias que indican que en los primeros cursos de EP el efecto de la lectura de palabras sobre la comprensión es mayor en comparación con el de otros componentes como la habilidad inferencial, el vocabulario, las estrategias de comprensión o la comprensión general del lenguaje; mientras que en cursos posteriores ocurre lo contrario (; ; ; ). Otro motivo que puede arrojar luz sobre estos hallazgos es que en los participantes presentaban bajos niveles de precisión y velocidad lectora lo que conlleva que la relación con la comprensión lectora sea más fuerte que en lectores más competentes.

Limitaciones de la investigación

Los resultados hallados se deben interpretar con cautela debido a posibles limitaciones metodológicas. Los cinco componentes predictores podrían estar capturando parte de la varianza de otras variables que han sido identificadas como importantes en la investigación: la conciencia morfológica, la motivación, la atención, la memoria de trabajo o la flexibilidad cognitiva grafofonológica-semántica. La fiabilidad calculada para la Prueba oral de inferencias y para ESCOLA fue pobre. Además, las medidas de autoinforme han sido cuestionadas debido a que en ocasiones la percepción que tienen los lectores sobre lo que hacen no se ajusta a la realidad (). Para medir la lectura de palabras se utilizó el TECLE, ya que se puede aplicar de forma grupal destinando menos tiempo a la recogida de datos. No obstante, se debe considerar que tiene un componente importante de comprensión lectora, puesto que para seleccionar la respuesta correcta es necesario entender la oración.

Recomendaciones para investigaciones futuras

En investigaciones futuras sobre el modelo DIME en español se recomienda que participen estudiantes de diferentes niveles educativos a los considerados en este estudio, ya que permitiría ir completando los datos sobre su ajuste en distintas edades. Se deberían usar pruebas de ejecución o protocolos de pensamiento en voz alta para solventar las limitaciones relacionadas con las pruebas de autoinforme. Sería conveniente usar distintas medidas de lectura de palabras, puesto que parece que en español se alcanzan rápidamente altas tasas de precisión, pero la velocidad sigue mejorando a lo largo de la etapa de EP. Se debería comprobar si existen diferencias utilizando textos narrativos y expositivos, ya que presentan distintas características. Sería interesante utilizar un análisis de regresión estructural con múltiples indicadores de cada componente para reducir el error de medida.

Implicaciones prácticas

Aunque se sabe que la lectura de palabras es importante para la comprensión lectora, los resultados encontrados sugieren que en los últimos cursos de EP no debe ser un objetivo prioritario. En contraste con enfoques pedagógicos que se centran en la enseñanza de habilidades para buscar o procesar información, el repertorio de conocimientos del alumnado tiene una relación notable con la comprensión lectora, sugiriendo que la formación de una cultura general extensa puede ser una forma de favorecer la comprensión de textos.

Contribución de los autores

Juan Martínez-Cubelos: Administración del proyecto; Análisis formal; Conceptualización; Curación de datos; Escritura - borrador original; Escritura - revisión y edición; Investigación; Metodología; Recursos; Software; Supervisión; Validación; Visualización.

Juan-Cruz Ripoll-Salceda: Administración del proyecto; Análisis formal; Conceptualización; Curación de datos; Escritura - revisión y edición; Metodología; Recursos; Software; Supervisión; Validación; Visualización.

Referencias

1 

Afflerbach, P. (1990). The influence of prior knowledge on expert readers' main idea construction strategies. Reading Research Quarterly, 25(1), 31-46. https://doi.org/10.2307/747986

2 

Ahmed, Y., Francis, D. J., York, M., Fletcher, J. M., Barnes, M., & Kulesz, P. (2016). Validation of the direct and inferential mediation (DIME) model of reading comprehension in grades 7 through 12. Contemporary Educational Psychology, 44-45, 68-82. https://doi.org/10.1016/j.cedpsych.2016.02.002

3 

Ahmed, Y., Miciak, J., Taylor, P., & Francis, D. J. (2022). Structure altering effects of a multicomponent reading intervention: an application of the direct and inferential mediation (DIME) model of reading comprehension in upper elementary grades. Journal of Learning Disabilities, 55(1), 58-78. https://doi.org/10.1177/0022219421995904

4 

Baker, D. L., Crespo-Alberto, P., Monzalve-Macaya, M., García, I., & Gutiérrez‑Ortega, M. (2022). Relation Between the essential components of reading and reading comprehension in monolingual Spanish-speaking children: a meta-analysis. Educational Psychology Review, 34, 2661-2696. https://doi.org/10.1007/s10648-022-09694-1

5 

Bowen, N. K., & Guo, S. (2011). Preparing for an SEM analysis. En N. K. Bowen, & S. Guo (Eds.), Structural equation modeling (pocket guides to social work research methods) (pp. 52-72). Oxford University Press. https://doi.org/10.1093/acprof:oso/9780195367621.003.0003

6 

Cervetti, G. N., Fitzgerald, M. S., Hiebert, E. H., & Hebert, M. (2023). Meta-analysis examining the impact of vocabulary instruction on vocabulary knowledge and skill. Reading Psychology, 44(6), 672-709. https://doi.org/10.1080/02702711.2023.2179146

7 

Cohen, J. (1992). A power primer. Psychological Bulletin, 112(1), 155-159. https://doi.org/10.1037/0033-2909.112.1.155

8 

Cromley, J. G., & Azevedo, R. (2006). Self-report of reading comprehension strategies: what are we measuring? Metacognition and Learning, 1, 229-247. https://doi.org/10.1007/s11409-006-9002-5

9 

Cromley, J., & Azevedo, R. (2007). Testing and refining the direct and inferential mediation model of reading comprehension. Journal of Educational Psychology, 99(2), 311-325. https://doi.org/10.1037/0022-0663.99.2.311

10 

Cromley, J. G., Snyder-Hogan, L., & Luciw-Dubas, U. A. (2010). Reading comprehension of scientific text: a domain-specific test of the direct and inferential mediation model of reading comprehension. Journal of Educational Psychology, 102(3), 687-700. https://doi.org/10.1037/a0019452

11 

Cuadro, A., & Costa, D. (2019). Evaluación del nivel lector. Manual técnico del test de eficacia lectora revisado (TECLE-R). Prensa Médica Latinoamericana.

12 

Davidson, R., & MacKinnon, J. G. (2000). Bootstrap tests: How many bootstraps? Econometric Reviews, 19(1), 55-68. https://doi.org/10.1080/07474930008800459

13 

Domínguez-Gutiérrez, A. B., Alegría-Iscoa, J., Carrillo-Gallego M., & Soriano-Bozalongo, J. (2013). PEALE. Pruebas de evaluación analítica de lengua escrita. Universidad de Salamanca. https://complydis.usal.es/wp-content/uploads/2019/02/PEALE.pdf

14 

Domínguez-Gutiérrez, A. B., Carrillo-Gallego, M., González., V., & Alegría-Iscoa, J. (2016). How do deaf children with and without cochlear implants manage to read sentences: The key word strategy. Journal of Deaf Studies and Deaf Education, 21(3), 280-292. https://doi.org/10.1093/deafed/enw026

15 

Duñabeitia, J. A., Griffin, K. L., Martín, J. L., Oliva, M., Sámano, M. L., & Ivaz, L. (2016). The Spanish general knowledge norms. Frontiers in Psychology, 7(1888), 1-5. https://doi.org/10.3389/fpsyg.2016.01888

16 

Florit, E., & Cain, K. (2011). The simple view of reading: is it valid for different types of alphabetic orthographies? Educational Psychology Review, 23, 553-576. https://doi.org/10.1007/s10648-011-9175-6

17 

Härtig, H., Bernholt, S., Fraser, N., Cromley, J. G., & Retelsdorf, J. (2022). Comparing reading comprehension of narrative and expository texts based on the direct and inferential mediation model. International Journal of Science and Mathematics Education, 20, 17-41. https://doi.org/10.1007/s10763-022-10302-5

18 

Hernández-Sobrino, L., García-Navarro, M., González-Santamaría, V., & Domínguez-Gutiérrez, A. B. (2023). ¿Es el vocabulario profundo una habilidad necesaria para la comprensión lectora en los primeros cursos de Educación Primaria? Revista de Psicología y Educación, 18(1), 11-21. https://doi.org/10.23923/rpye2023.01.230

19 

Hjetland, H. N., Brinchmann, E. I., Scherer, R., & Melby-Lervåg, M. (2017). Preschool predictors of later reading comprehension ability: a systematic review. Campbell Systematic Reviews, 14. https://doi.org/10.4073/csr.2017.14

20 

Hoover, W. A., & Gough, P. B. (1990). The simple view of reading. Reading and Writing: An Interdisciplinary Journal, 2(2), 127-160. http://doi.org/10.1007/BF00401799

21 

Kim, Y-S. G. (2020). Hierarchical and dynamic relations of language and cognitive skills to reading comprehension: testing the direct and indirect effects model of reading (DIER). Journal of Educational Psychology, 112(4), 667-684. https://doi.org/10.1037/edu0000407

22 

Kline, R. (2016). Principles and practice of structural equation modeling (4.ª ed.). Guilford Press.

23 

Leys, C., Delacre, M., Mora, Y. L., Lakens, D., & Ley, C. (2019). How to classify, detect, and manage univariate and multivariate outliers, with emphasis on pre-registration. International Review of Social Psychology, 32(1), 1-10. https://doi.org/10.5334/irsp.289

24 

Malhotra, N. K., & Dash, S. (2011). Marketing research an applied orientation. Pearson Publishing.

25 

Mar, R. A., Li, J., Nguyen, A. T. P., & Ta, C. P. (2021). Memory and comprehension of narrative versus expository texts: A meta-analysis. Psychonomic Bulletin & Review, 28(3), 732-749. https://doi.org/10.3758/s13423-020-01853-1

26 

Marín, J., & Carrillo, M. S. (1999). Test Colectivo de Eficacia Lectora (TECLE). Manuscrito no publicado. Departamento de Psicología Básica y Metodología. Universidad de Murcia. https://www.um.es/langpsy/Publicaciones/TECLE_Marin%20y%20Carrillo%20(1999).pdf

27 

Martínez-Cubelos, J., & Ripoll-Salceda, J. C. (2022). Adaptación del modelo de comprensión lectora directo y de la medicación inferencial para hispanohablantes: una revisión sistemática. Revista de Psicodidáctica, 27(2), 186-193. https://doi.org/10.1016/j.psicod.2022.05.001

28 

McNamara, D. S., & Magliano, J. (2009). Toward a comprehensive model of comprehension. En B. Ross (Ed.), The psychology of learning and motivation (Vol. 51) (pp. 297-384). Elsevier. https://doi.org/10.1016/S0079-7421(09)51009-2

29 

Miller, A. C., & Keenan, J. M. (2009). How word decoding skill impacts text memory: the centrality deficit and how domain knowledge can compensate. Annals of Dyslexia, 59(2), 99-113. https://doi.org/10.1007/s11881-009-0025-x

30 

Puente, A., Jiménez, V., & Alvarado, J. (2009). Escala de conciencia lectora (ESCOLA). Evaluación e intervención psicoeducativa de procesos y variables metacognitivas durante la lectura. Editorial EOS.

31 

Ramos, J., & Cuetos, F. (2005). Evaluación de los procesos lectores (PROLEC-SE). TEA Ediciones.

32 

Ripoll-Salceda, J. C., Aguado-Alonso, G., & Castilla-Earls, A. P. (2014). The simple view of reading in elementary school: a systematic review. Revista de Logopedia, Foniatría y Audiología, 34(1), 17-31. https://doi.org/10.1016/j.rlfa.2013.04.006

33 

Wright, T. S., & Cervetti, G. N. (2017). A systematic review of the research on vocabulary instruction that impacts text comprehension. Reading Research Quarterly, 52(2), 203-226. https://doi.org/10.1002/rrq.163