La evaluación de la escritura académica en Educación Primaria, Secundaria y Educación Superior

##plugins.themes.bootstrap3.article.main##

Rocío Cuberos-Vicente
Elisa Rosado
Verónica Martínez
Melina Aparici

Resumen

Dominar las habilidades lingüísticas requeridas en escritura académica es un desafío en todas las etapas educativas. Este estudio analiza la relación entre el uso de recursos lingüísticos y la calidad percibida en textos académicos con el objetivo de desarrollar instrumentos válidos de evaluación de la calidad textual. Se analizaron 212 textos analíticos de 65 alumnos de Educación Primaria, 78 de Secundaria y 69 universitarios. En un primer análisis, se codificaron recursos morfosintácticos, léxicos y discursivos de estos textos. Seguidamente, profesores de cada nivel educativo los evaluaron con una rúbrica analítica sobre aspectos lingüísticos y retóricos. Los resultados mostraron un aumento evolutivo en la mayoría de las características lingüísticas, excepto en la proporción de marcadores discursivos y la densidad léxica. La evaluación externa fue más diversa en Primaria y Secundaria que en la universidad, aunque las puntuaciones mejoraron con el nivel educativo. La calidad percibida de los textos se relacionó con características específicas en cada nivel: la productividad era clave para obtener buenas puntuaciones en Primaria y Secundaria, mientras que en Educación Superior se observó una correlación negativa entre el uso de marcadores del discurso y la evaluación docente. Estos hallazgos contribuirán al diseño de herramientas de evaluación adaptadas a cada etapa educativa.

Descargas

Los datos de descargas todavía no están disponibles.

##plugins.themes.bootstrap3.article.details##

Cómo citar
Cuberos-Vicente, R., Rosado, E., Martínez, V., & Aparici, M. (2026). La evaluación de la escritura académica en Educación Primaria, Secundaria y Educación Superior. Ocnos, 25(1). https://doi.org/10.18239/ocnos_2026.25.1.588
Sección
Artículos
Cuberos-Vicente, Rosado, Martínez, and Aparici: La evaluación de la escritura académica en Educación Primaria, Secundaria y Educación Superior

Introducción

La lectura de un texto implica, casi inevitablemente, evaluar su calidad. Como lectores, nuestra percepción está determinada por factores que van desde el interés del tema a la información que se proporciona o, de manera crucial, la forma en que se presenta y estructura esta información. En términos generales, la evaluación de un texto es un proceso bastante intuitivo. Sin embargo, desde la perspectiva especializada del investigador o del docente dicha calidad se materializa tanto en evaluaciones globales más o menos subjetivas como en la observación de criterios analíticos específicos (; ). Además, la calidad de un texto, eminentemente relacionada con su eficiencia en el contexto en que se produce y, por tanto, con el tipo de texto de que se trata, puede explicarse, parcialmente, examinando sus características lingüísticas (). Nuestro estudio pone en relación el análisis de indicadores de calidad textual por parte del investigador y la valoración del docente, para analizar los textos producidos por alumnos de Primaria, Secundaria y Eduación Superior.

En contextos académicos, el dominio de las habilidades lingüísticas requeridas para producir textos de calidad supone un desafío en todas las etapas educativas; de hecho, las dificultades con este tipo de textos pueden derivar en problemas de integración escolar, social y/o profesional (). La incorporación a la vida académica supone familiarizarse con convenciones y lenguaje propios de los textos, típicamente expositivos y/o argumentativos, que se producen en contextos académicos (; ). Si bien estos géneros se introducen en Educación Primaria y están sujetos a atención y tratamiento específicos en la Secundaria obligatoria y postobligatoria, las dificultades del alumnado con el uso adecuado de los recursos lingüísticos y estrategias discursivas propias de los textos académicos perduran hasta su tránsito a la universidad. Esto constituye una preocupación constante para profesores de todos los niveles y disciplinas pues, de hecho, los problemas en la redacción de sus trabajos académicos persisten incluso más allá de la formación de grado (; ). Para evaluar adecuadamente este tipo de textos y apoyar el aprendizaje de sus características por parte de niños, adolescentes y adultos, es preciso disponer de herramientas fiables. El interés de esta investigación reside en profundizar en la relación que existe entre la apreciación de un texto a partir de sus características lingüísticas y el efecto que estas producen en el lector cuando se valora su calidad. Esto se examina en textos analíticos, esto es, aquellos centrados en el análisis y la argumentación (; ) que presentan componentes tanto expositivos como argumentativos () y que se producen típicamente en contextos académicos. En comparación con géneros discursivos cognitivamente menos complejos y evolutivamente más tempranos (p. ej., la narración), estos se caracterizan por la necesidad del autor de expresar su punto de vista sobre un tema, presentar argumentos a favor y en contra y ofrecer evidencia adecuada y/o posibles refutaciones (). Las exigencias lingüísticas que impone la naturaleza de estos textos suponen un desafío para escritores de todas las edades/niveles educativos (). Mientras que la organización de la narración escrita tiende a dominarse alrededor de los 10 años, la escritura analítica es un logro tardío que requiere un uso avanzado de formas y funciones gramaticales, léxicas y discursivas cuya adquisición es también más tardía (). En este tipo de textos se espera que sus autores sean capaces de emplear un vocabulario diverso pero preciso, de condensar la información mediante, por ejemplo, una sintaxis compleja, y que expliciten la organización del discurso mediante marcas de conexión intra e interoracional que indiquen no sólo las transiciones textuales sino también el posicionamiento del autor (; ; ).

En estudios previos se ha identificado qué recursos léxicos, morfosintácticos y discursivos funcionan como indicadores de calidad textual y se ha explorado la relación que se establece entre los distintos grupos de indicadores a lo largo del desarrollo (; ; ; ). Sin embargo, no se ha explorado desde una perspectiva evolutiva cómo la presencia de estos elementos afecta a la evaluación de los textos, es decir, cómo el uso de determinados elementos lleva a la identificación de textos “de calidad” por parte de jueces externos.

Una primera exploración sobre la relación entre los indicadores lingüísticos de calidad textual y la evaluación externa del corpus de textos de este trabajo se realizó en . Allí se examinaba cómo aspectos directamente relacionados con el contenido y la estructura de los textos contribuían a explicar el grado de calidad percibida por parte de jueces expertos. También exploran qué características textuales explican la evaluación que los docentes realizan de los textos la cual varía en función del nivel educativo y/o la exposición a trabajo pedagógico específico. Estos trabajos, sin embargo, se han limitado a considerar la relación entre dichos aspectos y la evaluación holística de los mismos.

Objetivos

En ese estudio se analiza la calidad textual de textos analíticos producidos por estudiantes de Primaria, Secundaria y Educación Superior, y concretamente nos proponemos:

  • 1. Examinar las posibles variaciones en la evaluación externa de la calidad textual de los textos según el nivel educativo.
  • 2. Analizar el desarrollo de un conjunto de recursos lingüísticos identificados como indicadores de calidad textual comparando su uso en los textos según el nivel educativo.
  • 3. Identificar cuáles de estos recursos lingüísticos explican mejor las evaluaciones externas de la calidad textual en cada nivel educativo.

Métodos

Participantes

Participaron 212 estudiantes de tres niveles educativos —6º de Educación Primaria (n=65), 4º de Educación Secundaria (n=78) y 1º y 2º curso de Educación Superior (n=69)—. Los textos se recogieron en León y Ciudad Real, en dos centros de Educación Primaria, tres de Secundaria y en la Universidad de León. En la tabla 1 se recogen la media, desviación típica, rango de edad y sexo de los participantes.

Tabla 1Edad media, rango de edad y sexo de los participantes por nivel educativo 
Nivel educativo M Edad (DT) Rango Edad Participantes
Hombre Mujer Total
Educación Primaria 11.6 (0.28) 11.1–12.1 30 35 65
Educación Secundaria 15.8 (0.67) 15.0–18.3 33 45 78
Educación Superior 21 (2.31) 19.10–31.8 27 42 69

Procedimiento

Tarea de escritura

Durante una secuencia didáctica diseñada para mejorar las competencias vinculadas a la producción de textos analíticos, los participantes escribieron cinco textos a ordenador en un máximo de 30 minutos cada uno y sin límite de extensión. La secuencia didáctica se implementó durante siete sesiones en el aula ordinaria de los grupos clase por parte de su profesorado habitual, que recibió formación específica previa. Las actividades pedagógicas consistieron en lecturas sobre el tema de la secuencia —la libertad de movimiento entre países—, discusión en clase sobre las características de los textos analíticos y tareas de evaluación entre iguales (véase ). En este estudio se analiza el texto 4, producido inmediatamente después de las actividades pedagógicas. Se decidió utilizar este texto porque durante la secuencia didáctica los participantes leyeron y escribieron sobre este tema, lo que asegura que las producciones se realizaron después de una misma instrucción y en un contexto pedagógico controlado ().

Evaluación externa de la calidad textual

Nueve profesores experimentados de cada nivel educativo participaron en la evaluación de la calidad textual. Para ello, se les facilitó una rúbrica analítica que incluye seis criterios: contenido, organización, cohesión, vocabulario, corrección e impacto comunicativo. Esta rúbrica se diseñó en el marco del proyecto Escritura analítica y diversidad lingüística (EDU2015-65980-R) (IP.: J. Perera y L. Tolchinsky). En la tabla 2 se recoge la descripción de los aspectos evaluados en cada criterio.

Tabla 2Descripción de los criterios analíticos 
Criterio Descripción
Contenido Se valora la relevancia y adecuación del contenido del texto en relación con el tema propuesto.
Organización Se valora la organización del contenido, dirigiendo la atención de los evaluadores a cómo se ordenan y diferencian las distintas partes del texto.
Cohesión Se evalúa cómo se conectan las ideas a nivel intraoracional y extraoracional.
Vocabulario Se evalúa la adecuación del vocabulario utilizado en función del tipo de texto, así como la riqueza léxica.
Corrección Se centra en identificar el número de errores ortográficos, gramaticales y de puntuación y en valorar su impacto en la comprensión del texto.
Impacto comunicativo Se evalúa la claridad del punto de vista expresado y la calidad de las evidencias presentadas para respaldarlo.

A los evaluadores se les pidió que puntuaran cada uno de estos criterios y que asignaran una puntuación global al texto en una escala Likert de 1 a 5, donde 5 era la puntuación más alta. Los textos con menos de 40 palabras debían ser puntuados con 1 en todos los criterios por ser demasiado cortos para evaluar. Sólo dos participantes de Primaria fueron descartados de los análisis.

La fiabilidad de las evaluaciones se calculó en el 20% de los textos mediante el coeficiente Alfa de Cronbach. Se alcanzaron acuerdos significativos entre los jueces en todos los niveles educativos (α ≥ .881 en todas las puntuaciones) ().

Indicadores lingüísticos de calidad textual

Se obtuvieron medidas morfosintácticas, léxicas y discursivas y una medida de productividad para analizar aspectos lingüísticos que han sido previamente relacionados con la calidad textual.

  • - Productividad. Hace referencia a la longitud textual y se calculó a partir del número de total de palabras.
  • - Uso de conectores sintácticos. Conjunciones coordinantes y subordinantes que conectan oraciones (mecanismos de conexión intraoracional), y se calculó la proporción de estos en relación con el número total de cláusulas.
  • - Uso de marcadores discursivos. Elementos de conexión que no ejercen una función sintáctica en la predicación oracional, pero constituyen enlaces supraoracionales facilitadores de la cohesión textual (mecanismos de conexión extraoracional), siguiendo los criterios de , y se calculó la proporción de estos sobre el número total de cláusulas.
  • - Diversidad léxica. Variedad de palabras diferentes utilizadas en un texto calculada mediante el índice D que, a diferencia de otros índices, no se ve afectado por la longitud del texto ().
  • - Densidad léxica. Proporción de palabras contenido sobre el número total de palabras, informa sobre la densidad informativa de un texto ().
  • - Sofisticación léxica. Uso de palabras menos comunes y más avanzadas. Se calculó mediante la longitud media de palabras con contenido semántico, en tanto que a medida que aumenta la longitud de las palabras disminuye su frecuencia de aparición en el lenguaje ().

Análisis de datos

Los textos obtenidos fueron transcritos en formato CHAT y se analizaron mediante programas de CLAN del proyecto CHILDES (): FREQ para determinar la frecuencia de las variables de recuento, VOCD para la diversidad léxica y WDLEN para la longitud media de palabras. Los textos fueron segmentados en cláusulas siguiendo los criterios de , adaptados al español por y etiquetados morfosintácticamente mediante MOR y POST.

Se realizaron ANOVA con el nivel educativo como factor intersujeto para analizar cómo evolucionan las puntuaciones externas y cómo se desarrolla el uso de los indicadores lingüísticos de calidad textual. Se calculó el tamaño del efecto con el valor de eta cuadrado ( η 2 ). Las comparaciones por pares se realizaron aplicando la corrección de Tukey y la corrección de Games-Howell cuando los datos no cumplieron el criterio de homocedasticidad. También se calculó el tamaño del efecto mediante la d de Cohen ().

Para abordar el tercer objetivo, centrado en examinar la relación entre los indicadores lingüísticos y las evaluaciones de la calidad de los textos, se llevaron a cabo una serie de correlaciones mediante el coeficiente de correlación de Pearson en cada nivel educativo. Seguidamente, se realizaron análisis de regresión para cada uno de los aspectos evaluados en cada nivel educativo por separado. Sólo los indicadores que correlacionaron significativamente con las puntuaciones de evaluación de la calidad se introdujeron como variables explicativas. El porcentaje de variabilidad explicada se determinó mediante el coeficiente R cuadrado ajustado (R2 ajustado) y el poder explicativo de cada variable se determinó mediante el coeficiente estandarizado beta (β).

Resultados

Los resultados se han dividido en tres subapartados: la evaluación externa de la calidad textual por nivel educativo; el uso de indicadores lingüísticos de calidad textual por nivel educativo; y la relación entre las evaluaciones externas y los indicadores lingüísticos.

Evaluación externa de la calidad textual por nivel educativo

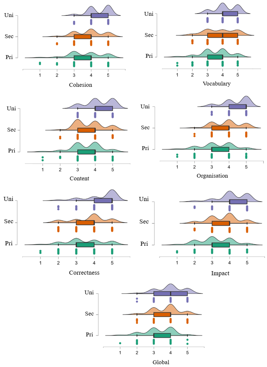
El nivel educativo tuvo un efecto significativo en todas las puntuaciones de calidad textual, aumentando con la edad. En la tabla 3 se muestra la estadística descriptiva, el valor de F y el tamaño del efecto. También se recogen los resultados de las comparaciones por pares.

Tabla 3Estadística descriptiva (Media (M) y Desviación típica (DT)), el valor de F y el tamaño del efecto en las puntuaciones de calidad textual por nivel educativo 
Criterios Nivel educativo M DT F η 2
Contenido Primaria 3.48a 0.90 14.448*** 0.121
Secundaria 3.72b 0.80
Universidad 4.22ab 0.74
Organización Primaria 3.30ab 0.97 28.486*** 0.214
Secundaria 3.88ac 0.81
Universidad 4.39bc 0.71
Cohesión Primaria 3.65a 1.00 15.584*** 0.130
Secundaria 3.87b 0.83
Universidad 4.42ab 0.63
Vocabulario Primaria 3.52a 0.97 9.901*** 0.087
Secundaria 3.81b 0.95
Universidad 4.20ab 0.72
Corrección Primaria 3.45a 1.08 15.707*** 0.131
Secundaria 3.74b 0.95
Universidad 4.36ab 0.89
Impacto comunicativo Primaria 3.19ab 0.97 20.181*** 0.162
Secundaria 3.65ac 0.85
Universidad 4.14bc 0.81
Global Primaria 3.27ab 0.89 12.351*** 0.106
Secundaria 3.73a 0.78
Universidad 3.97b 0.78

Nota Los valores con los mismos superíndices son diferentes significativamente en p < .05;

*** p< .001.

La figura 1 muestra las puntuaciones de la calidad textual por nivel educativo. En todos los criterios, los participantes de Educación Superior obtuvieron medias superiores a los otros grupos. Las puntuaciones en Secundaria son también de media más altas que las que reciben los estudiantes de Primaria. Se observa una baja variabilidad en todos los niveles educativos, aunque es algo superior en Primaria.

Figura 1Distribución de las puntuaciones de calidad textual por nivel educativo 
Figura 1. Distribución de las puntuaciones de calidad textual por nivel educativo.

Los resultados de las pruebas post-hoc indicaron que los alumnos de Primaria reciben puntuaciones significativamente más bajas que los de Secundaria sólo en organización (p<.001; d=0.69), impacto (p<.001; d=0.54) y puntuación global (p<.001; d=0.55), y que los de Educación Superior en todos los aspectos evaluados (contenido: p<.001; d=0.91; organización: p<.001; d=1.30; cohesión: p<.001; d=0.93; vocabulario: p<.001; d=0.76; corrección: p<.001; d=0.94; impacto: p<.001; d=1.10; puntuación global: p<.001; d=0.85). Los estudiantes de Secundaria reciben también puntuaciones significativamente más bajas que los estudiantes universitarios en todos los criterios (contenido: p<.001; d=0.61; organización: p<.001; d=1.30; cohesión: p<.001; d=0.66; vocabulario: p<.05; d=0.44; corrección: p<.001; d=0.64; impacto: p<.01; d=0.56), pero no en puntuación global.

Uso de indicadores lingüísticos de calidad textual por nivel educativo

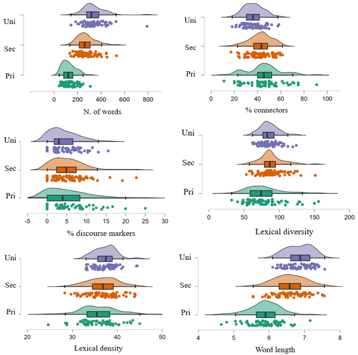
El nivel educativo tuvo un efecto significativo en la mayoría de los indicadores lingüísticos, con tamaños del efecto entre pequeño y mediano En la tabla 4 se muestra la estadística descriptiva, el valor de F, y el tamaño del efecto. También se recogen los resultados de las comparaciones por pares.

Tabla 4Estadística descriptiva (Media (M) y Desviación típica (DT)), el valor de F y el tamaño del efecto en los indicadores lingüísticos  
Indicadores Nivel educativo M DT F η 2
N.º palabras Primariaab 126.64 57.69 125.799*** 0.546
Secundariaac 272.94 76.84
Universidadbc 337.22 95.78
Conectores Primariaa 45.47 15.26 10.596*** 0.092
Secundariab 42.74 9.58
Universidadab 36.70 8.55
Marcadores Primaria 5.23 5.48 1.312 0.012
Secundaria 5.31 4.36
Universidad 4.20 3.62
Diversidad léxica Primariaa 78.20 25.79 5.422** 0.050
Secundariaa 88.63 17.20
Universidad 85.62 12.83
Densidad léxica Primaria 36.09 4.36 2.145 0.020
Secundaria 36.75 3.43
Universidad 37.37 2.43
Longitud palabra Primariaab 5.88 0.45 95.612*** 0.478
Secundariaac 6.58 0.44
Universidadbc 6.85 0.36

Nota Los valores con los mismos superíndices son diferentes significativamente en p<.05;

** p<.01;

*** p<.001.

La figura 2 muestra el uso de los indicadores por nivel educativo. Se observa que la longitud de los textos aumenta progresivamente con el nivel educativo. Además, en prácticamente todos los indicadores, los estudiantes universitarios muestran un desempeño superior que los grupos más jóvenes, a excepción de conectores sintácticos, donde se observa el comportamiento contrario: los estudiantes de Primaria producen una mayor cantidad de conectores que los grupos de estudiantes mayores. Asimismo, el desempeño de los estudiantes de Primaria presenta mayor variabilidad que el observado en los estudiantes de Secundaria y Educación Superior en todas las medidas analizadas.

Figura 2Distribución de los indicadores lingüísticos por nivel educativo 
Figura 2. Distribución de los indicadores lingüísticos por nivel educativo.

Los resultados de las pruebas post-hoc indican que el número de palabras aumenta significativamente con el nivel educativo (pri vs. sec: p<.001; d=1.86; pri vs. uni: p<.001; d=2.68; sec vs. uni: p<.001; d=0.82).

En relación con el uso de conectores, los estudiantes de Primaria y Secundaria produjeron significativamente una mayor proporción de conectores que los universitarios (pri vs. uni: p<.001; d=0.77; sec vs. uni: p<.01; d=0.53), mientras que las diferencias entre los grupos de Primaria y Secundaria no resultaron significativas. A diferencia de lo observado en los conectores sintácticos, no se encontró un efecto significativo del nivel educativo en el uso de marcadores discursivos, lo que indica que la proporción de marcadores no cambia con la edad.

En el caso de las medidas léxicas, se observa que la diversidad léxica aumenta con la edad, siendo las diferencias sólo significativas entre los estudiantes de Primaria y de Secundaria (p<.05; d=0.55). Por su parte, la longitud media de palabra aumentó significativamente con el nivel educativo (pri vs. sec: p<.001; d=1.67; pri vs. uni: p<.001; d=2.32; sec vs. uni: p<.001; d=0.64). Por último, la densidad léxica no se vio afectada por el nivel educativo, manteniéndose estable en los distintos grupos.

Relación entre la evaluación de la calidad textual y los indicadores lingüísticos

La relación entre las valoraciones de calidad textual (criterios analíticos y evaluación global) y los indicadores lingüísticos es distinta en cada nivel educativo. Con excepción de las puntuaciones de corrección, que no muestran una correlación significativa con ninguno de los recursos en ningún grupo, las demás puntuaciones se relacionan con algunos de ellos al menos en un nivel educativo. Las figuras 3, 4 y 5 recogen los resultados de correlación en cada nivel. A partir de las correlaciones observadas, se pusieron a prueba distintos modelos de regresión para cada una de las evaluaciones en cada grupo.

A excepción de la puntuación de corrección, en Primaria se dan correlaciones significativas entre al menos uno de los recursos y las puntuaciones otorgadas. El número de palabras correlaciona significativamente de forma positiva con las puntuaciones de la mayoría de los criterios de calidad textual, así como con la evaluación global, lo que sugiere que los textos más largos obtienen puntuaciones más altas.

Figura 3Correlación entre las puntuaciones y los indicadores lingüísticos en Educación Primaria 
Figura 3. Correlación entre las puntuaciones y los indicadores lingüísticos en Educación Primaria.

De hecho, en relación con la puntuación global, el único indicador que correlacionó de forma significativa fue número de palabras (r=.583), por lo que el modelo puesto a prueba incluyó sólo la productividad como variable predictiva. El modelo, que resultó significativo, F(1.63)=32.466; R2=.331; p<.001, permite explicar el 33.10% de la puntuación global. El número de palabras contribuyó significativamente y de forma positiva al modelo (β=0.583; p<.001).

En el caso del criterio de contenido, además de correlacionar de forma significativa con el número de palabras (r=.569), lo hace también con la diversidad léxica (r=.335). Así, el modelo de regresión incluyó ambos recursos como variables predictivas. En este caso, el modelo también resultó significativo, F(2.61)=17.929; R2=.350; p<.001, y explica el 35% de las puntuaciones. Tanto la diversidad léxica (β=0.267) como el número de palabras (β=0.512) contribuyeron de forma positiva al modelo (p<.05).

En lo referido a la organización, sólo el número de palabras correlaciona significativamente (r=.530). Este modelo, que también resultó significativo, F(1. 63)=24.674; R2=.281; p<.001, explica el 28.1% de la varianza. El número de palabras contribuyó significativamente y de forma positiva al modelo (β=0.530; p<.001).

En lo relativo a las puntuaciones de cohesión, éstas correlacionan significativamente sólo con la proporción de marcadores (r=.277). El modelo resultó significativo, F(1.63)=5.237; R2=.062; p<.025, explicando el 6.2% de la variabilidad de las puntuaciones de cohesión. La proporción de marcadores contribuyó de forma significativa al modelo (β=0.277; p=.025).

Respecto al vocabulario, se dan dos correlaciones significativas: el número de palabras (r=.372) y la proporción de marcadores (r=.316). En este caso el modelo también resultó significativo, F(2.63)=5.280; R2=.118; p=.008, y explica el 11.8% de la variabilidad de las puntuaciones, pero sólo el número de palabras contribuyó de manera significativa (β=0.361; p=.003).

Por último, las puntuaciones otorgadas al impacto comunicativo correlacionan sólo con el número de palabras (r=.386). El modelo testado resultó significativo, F(1.63)=11.008; R2=.149; p=.002, y explica el 14.9% de la variabilidad de las puntuaciones. El número de palabras contribuyó significativamente al modelo (β=0.386; p=.002).

En Secundaria se observaron menos correlaciones entre los recursos lingüísticos y las distintas puntuaciones de calidad textual. Así, sólo se encontró correlaciones significativas con la puntuación global y con las puntuaciones en los criterios de contenido y vocabulario.

Figura 4Correlación entre las puntuaciones y los indicadores lingüísticos en Educación Secundaria 
Figura 4. Correlación entre las puntuaciones y los indicadores lingüísticos en Educación Secundaria.

En relación con la puntuación global, al igual que en Primaria sólo el número de palabras correlaciona con esta variable (r=.251). El modelo puesto a prueba resultó también significativo, F(1.76)=5.123; R2=.051; p=.026, pero en este caso explica el 5.10% de la varianza. El número de palabras contribuyó significativamente al modelo (β=0.251; p<.026).

Respecto a las puntuaciones otorgadas al contenido, estas correlacionan significativamente con todos los indicadores léxicos: diversidad léxica (r=.297), densidad léxica (r=.297) y longitud media de palabra (r=.248). El modelo resultó significativo, F(3.74)=3.420; R2=.086; p<.001, y explica el 8.6% de la variabilidad de las puntuaciones de contenido, a pesar de que ninguno de estos indicadores contribuyó de forma significativa al modelo.

Finalmente, las puntuaciones de vocabulario correlacionan significativamente con el número de palabras (r=.281). El modelo puesto a prueba resultó significativo, F(1.76)=6.512; R2=,067; p<.013, y permite explicar el 6,7% de la variabilidad de las puntuaciones. El número de palabras contribuyó de forma significativa al modelo (β=0.281; p=.013).

De manera similar a lo observado en Secundaria, en Educación Superior se dan menos correlaciones significativas entre los recursos lingüísticos y las puntuaciones de calidad textual. En este caso se observaron correlaciones significativas en la puntuación global y las puntuaciones de contenido, organización e impacto. A diferencia de lo identificado en los grupos de menor edad, en Educación Superior el número de palabras no correlacionó significativamente con ninguna de las puntuaciones.

Figura 5Correlación entre las puntuaciones y los indicadores lingüísticos en Educación Superior 
Figura 5. Correlación entre las puntuaciones y los indicadores lingüísticos en Educación Superior

En relación con la puntuación global, la única correlación significativa se dio con la proporción de marcadores discursivos y en un sentido negativo (r=-.298). El modelo resultó significativo, F(1.67)=6.508; R2=.089; p=.013, explicando el 8.90% de las puntuaciones globales. En este caso, la proporción de marcadores contribuyó negativamente al modelo (β=-0.298; p=.013).

En el caso de las puntuaciones de contenido, estas correlacionaron también de forma negativa con la proporción de marcadores (r=-.271). El modelo puesto a prueba resultó significativo, F(1.67)=5.329; R2=.074; p<.001, y permite explicar el 7.4% de la variabilidad de las puntuaciones de contenido. La proporción de marcadores contribuyó de manera negativa al modelo (β=-0.271, p=.024).

En lo relativo a las puntuaciones de organización, se observó correlación negativa con la proporción de marcadores (r=-293) y correlación positiva con la densidad léxica (r=.332). El modelo resultó también significativo, F(2. 66)=6.122; R2=.156; p<.004, y explica el 15.6% de la variabilidad en las puntuaciones de organización. Tanto la densidad léxica (β=0.275) como la proporción de marcadores (β=-0.222) contribuyeron significativamente al modelo (p<.05), aunque en sentidos opuestos: la densidad tuvo un efecto positivo y la proporción de marcadores, negativo.

Por último, en relación con las puntuaciones otorgadas al impacto comunicativo, se observó de nuevo una correlación negativa con la proporción de marcadores (r=-.273). El modelo, que resultó significativo, F(2.63)=7.333; R2=.118; p<.008, explica el 11.8% de la variabilidad. Una vez más, la proporción de marcadores contribuyó de forma negativa al modelo (β=-0.273; p=.023).

Discusión

En este estudio se ha analizado la calidad de textos analíticos escritos por alumnos de Primaria, Secundaria y Educación Superior, examinando, por una parte, las valoraciones de calidad realizadas por docentes expertos de los niveles educativos examinados y, por otra, el desarrollo de un conjunto de indicadores lingüísticos de calidad según el nivel educativo. Además, se ha analizado la relación entre ambas formas de evaluación, lo que ha permitido identificar cuáles de estos indicadores explican mejor las evaluaciones de los docentes.

Con respecto al primer objetivo, centrado en examinar la variación en las evaluaciones de docentes, los resultados indican que los textos mejor valorados son los producidos por estudiantes universitarios, con la única excepción de la puntuación global, para la que no se observaron diferencias significativas entre Secundaria y Educación Superior. Esto podría indicar que, si bien los escritos de los estudiantes universitarios destacan en aspectos lingüísticos y textuales específicos, en la valoración global de la calidad textual los docentes priorizan aspectos más generales, como la claridad o la coherencia. Alternativamente, podríamos interpretar que los docentes adaptan sus expectativas y, por tanto, sus valoraciones al nivel educativo que evalúan en cada caso (; ). Por su parte, los escritos de los estudiantes de Primaria y Secundaria obtuvieron valoraciones similares en la mayoría de los aspectos evaluados, excepto en impacto, organización y puntuación global, donde los estudiantes de Primaria recibieron valoraciones más bajas que los de Secundaria. Ello podría sugerir que ciertos aspectos macroestructurales y retóricos propios del tipo de texto empiezan a valorarse especialmente a partir de Secundaria, cuando los textos empiezan a mostrar características propias de tipologías textuales como la expositiva, diferenciándose los recursos usados en su producción de los propios de géneros evolutivamente más tempranos como el narrativo (; ).

En relación con nuestro segundo objetivo, analizar el desarrollo de un conjunto de indicadores lingüísticos de calidad textual, los resultados arrojan diferencias por nivel educativo en prácticamente todos los recursos estudiados, aunque con patrones de desarrollo distintos en cada recurso. En línea con lo observado en estudios previos, los estudiantes de niveles educativos más altos producen textos más largos y utilizan un vocabulario más sofisticado y diverso. Ello supondría evidencia adicional de cómo la cantidad de texto producido, la diversidad léxica y la sofisticación léxica, entendida también en estudios previos como el uso de palabras más largas, son indicadores de desarrollo académico (; ; ). A pesar del aumento de la productividad y del uso de vocabulario más sofisticado y diverso que se da con el nivel educativo, la densidad léxica se mantiene estable. Este resultado está atestiguado en estudios anteriores en español (; ; ) y catalán (), pero se opone a lo observado en inglés, hebreo o sueco (; ); ello podría apuntar a tendencias evolutivas distintas en función de diferencias tipológicas entre lenguas () que realizan un uso más o menos extensivo de palabras función (independientes) o morfemas gramaticales (ligados).

En el caso de los mecanismos de conectividad, se han identificado patrones de desarrollo diferentes. Así, mientras que la proporción de marcadores discursivos es equivalente en los niveles educativos, la proporción de conectores sintácticos sí disminuye con la edad. Estos resultados, que amplían la tendencia evolutiva hallada en un trabajo paralelo en catalán (), pueden deberse a razones complementarias. Por una parte, la disminución de conectores sintácticos que se observa en los universitarios coincide con la idea que sugieren de que la cohesión no siempre se obtiene mediante la profusión de conectores. Así, el reajuste a la baja observado y/o la ausencia de diferencias podrían estar señalando el uso de mecanismos alternativos por parte de los universitarios. De hecho, el carácter no obligatorio de los marcadores discursivos, que constituyen una de las opciones retóricas de las que disponen los escritores, podría explicar este comportamiento. Ello también podría deberse a que en este estudio no se distinguió entre las diferentes funciones discursivas (p.ej., de estructuración o modalización) que desempeñan estos marcadores y que podrían mostrar diferencias entre los grupos de edad (). Tampoco se analizaron los marcadores “no convencionales”, esto es, unidades multipalabra que, a pesar de desempeñar las mismas funciones que los marcadores discursivos tradicionales, no son considerados como tales (; ). Tampoco se identificaron los usos no canónicos de las marcas analizadas, es decir, usos gramatical o semánticamente inadecuados en el contexto discursivo.

Con respecto al tercer objetivo, identificar qué recursos lingüísticos explican cómo varían las evaluaciones docentes de la calidad textual, los resultados arrojan diferencias según el nivel. En Primaria, la extensión del texto es el indicador de calidad textual por excelencia, pues permite explicar variaciones en las puntuaciones de todos los aspectos evaluados, con excepción de la corrección. Este resultado, en línea con trabajos previos (; ), sugiere que el aumento de la longitud de los textos implica el despliegue de otros recursos lingüísticos que permiten a los escritores elaborar una argumentación y un razonamiento más precisos. En este nivel educativo se ha identificado también una asociación positiva entre la diversidad léxica y el contenido de los textos, que sugiere que el uso de un vocabulario variado implica que los escritores abordan el tema con más profundidad. Además, a medida que los escritores incorporan más marcadores discursivos en sus textos, mejoran sus puntuaciones en vocabulario y cohesión, de modo que nuestros resultados corroboran que los textos mejor cohesionados son los que reciben mejores evaluaciones (). El uso de marcadores discursivos, sin embargo, no se asocia con las puntuaciones de organización; esto podría sugerir que los docentes valoran la función de cohesión de los marcadores, pero no su papel integral en la organización global del texto. Sorprende también que el uso de conectores sintácticos, que por definición contribuyen a la cohesión textual (), no se asocie con las puntaciones de cohesión u organización. Estos resultados apuntarían a la necesidad de incorporar en futuros trabajos criterios funcionales que permitan una discusión más orgánica del valor discursivo de estas marcas ().

En Secundaria se da un panorama similar en cuanto a la relación entre longitud del texto y evaluaciones de los docentes pues, a medida que aumenta la extensión del texto, aumentan tanto las puntuaciones de contenido y vocabulario como la puntuación global. Este resultado apunta a que la productividad continúa siendo determinante en la evaluación de la calidad textual en este nivel educativo (; ). También en este nivel todas las medidas léxicas se asocian positivamente con las puntuaciones de contenido y, en el caso de la diversidad, va incluso más allá, influyendo también en la puntuación global. Parece, pues, que el repertorio léxico de los escritores cobra especial relevancia en la evaluación de la calidad textual en este nivel. Ni el uso de marcadores ni el uso de conectores se asocian con las puntuaciones otorgadas por los docentes, lo que confirma la conveniencia de profundizar en futuros trabajos en la descripción de estos mecanismos de conexión atendiendo a criterios funcionales.

En Educación Superior, en cambio, la productividad no se asocia directamente con las evaluaciones de los docentes. Esto sugiere que una vez alcanzada una extensión mínima que permite articular la argumentación del propio punto de vista requerida por el texto, los jueces pueden comenzar a centrarse en aspectos más allá de la longitud para determinar la calidad del escrito. Además, sorprendentemente, una mayor producción de marcadores discursivos se asocia negativamente con la mayoría de las puntuaciones de calidad textual; este resultado nos lleva a hipotetizar que algunos de los marcadores producidos resultan semántica o discursivamente inadecuados. Estos usos no canónicos a los que ya referíamos más arriba (; ) merecen, sin duda, un análisis pormenorizado en próximos estudios. En este nivel educativo se identifica también una asociación positiva entre densidad léxica y organización de los textos, lo cual parece indicar que la organización se ve favorecida por el aumento de la densidad informativa ().

Así pues, los docentes no parecen aplicar los mismos criterios en todos los niveles educativos, si bien aspectos como la productividad y la diversidad léxica, se mantienen como constantes en la evaluación que realizan de los textos en Educación Primaria y Secundaria.

Uno de nuestros propósitos para futuros estudios es abordar de forma más exhaustiva la descripción de la naturaleza de los marcadores discursivos empleados en los textos. Esta descripción nos permitiría comprender adecuadamente cuáles son los desajustes entre las formas empleadas y las funciones que desempeñan en el contexto en que se producen, en la línea de los trabajos de y . Además, nos parece oportuno que docentes evalúen textos de diferentes niveles educativos, en lugar de ceñirse a textos del nivel educativo en el que imparten docencia. Este enfoque permitiría entender cómo las percepciones sobre la calidad textual pueden variar según la experiencia y el contexto educativo de cada docente. Igualmente, tal estudio podría proporcionar información valiosa para el diseño e implementación de estrategias didácticas para la enseñanza de la lengua escrita.

Conclusiones

Este estudio confirma que la calidad de los textos académicos escritos evoluciona con el nivel educativo, tanto en el uso de recursos lingüísticos como en la evaluación docente. La productividad y la diversidad léxica resultan los indicadores más relevantes en Primaria y Secundaria, mientras que en Educación Superior el uso inadecuado de los marcadores discursivos puede afectar negativamente a la percepción de la calidad. Estos resultados subrayan la necesidad de desarrollar instrumentos de evaluación adaptados al nivel educativo y de profundizar en el análisis funcional de los recursos lingüísticos utilizados, sobre todo en los niveles más avanzados.

Contribución de las autoras

Rocío Cuberos-Vicente: Análisis formal; Conceptualización; Curación de datos; Escritura - borrador original; Escritura - revisión y edición; Investigación; Metodología; Recursos; Supervisión; Validación; Visualización; Adquisición de fondos.

Elisa Rosado: Administración del proyecto; Conceptualización; Escritura - borrador original; Escritura - revisión y edición; Investigación; Metodología; Recursos; Supervisión; Validación.

Verónica Martínez: Análisis formal; Conceptualización; Curación de datos; Escritura - borrador original; Escritura - revisión y edición; Investigación; Metodología; Supervisión; Validación; Visualización.

Melina Aparici: Administración del proyecto; Conceptualización; Escritura - revisión y edición; Investigación; Metodología; Recursos; Supervisión; Validación; Adquisición de fondos.

Financiación

Este estudio ha sido financiado por el Ministerio de Ciencia, Innovación y Universidades (PID2020-119555GA-I00; I.P.: M. Aparici) y por la beca postdoctoral Margarita Salas otorgada a Rocío Cuberos-Vicente por la Universidad de Barcelona y financiada por Next Generation EU y el Ministerio de Universidades.

Declaración

Una versión previa de este estudio se presentó en el XXXIII Congreso Internacional de la Asociación Española de Logopedia, Foniatría y Audiología e Iberoamericana de Fonoaudiología celebrado en Santander del 28 al 30 de septiembre diciembre de 2023. El resumen de la comunicación fue publicado en el volumen extraordinario 43(1) de la Revista de Logopedia, Foniatría y Audiología. https://doi.org/10.1016/j.rlfa.2023.100372.

Referencias

1 

Alonso-Chacón, P. J. (2019). Uso de marcadores discursivos en el discurso académico oral y escrito de estudiantes universitarios costarricenses [Tesis doctoral, Universitat de Barcelona]. https://hdl.handle.net/2445/151342

2 

Aparici, M. (2010). El desarrollo de la conectividad discursiva en diferentes géneros y modalidades de producción [Tesis doctoral, Universitat de Barcelona].

3 

Aparici, M., Cuberos, R., Salas, N., & Rosado, E. (2021). Linguistic indicators of text quality in analytical texts: developmental changes and sensitivity to pedagogical work. Journal for the Study of Education and Development, 44(1), 9-46. https://doi.org/10.1080/02103702.2020.1848093

4 

Aparici, M., Rosado, E., Vilar, H., Cuberos, R., & Tolchinsky, L. (2024). The influence of students’ linguistic condition, school level, and pedagogical input on analytical essay features. Frontiers in Language Sciences, 3, 1480422. https://doi.org/10.3389/flang.2024.1480422

5 

Berman, R. A., & Nir-Sagiv, B. (2010). The lexicon in writing–speech–differentiation. Developmental perspectives. Written Language and Literacy, 13(2), 183-205. https://doi.org/10.1075/wll.13.2.01ber

6 

Berman, R. A., & Slobin, D. I. (1994). Relating events in narrative: A crosslinguistic developmental study. Erlbaum. https://doi.org/10.4324/9780203773512

7 

Berman, R. A., & Verhoeven, L. (2002). Cross-linguistic perspectives on the development of text production abilities: Speech and writing. Written Language and Literacy, 5(2), 1-43. https://doi.org/10.1075/wll.5.1.02ber

8 

Cohen, J. (1988). Statistical power analysis for the behavioural sciences. Erlbaum. https://doi.org/10.4324/9780203771587

9 

Crossley, S. A., & McNamara, D. S. (2010). Cohesion, coherence, and expert evaluations of writing proficiency. En S. Ohlsson y R. Catrambone (Eds.), Proceedings of the 32nd Annual Conference of the Cognitive Science Society (pp. 984-989). Cognitive Science Society. https://escholarship.org/uc/item/6n5908qx

10 

Crossley, S. A., Weston, J., McLain-Sullivan, S. T., & McNamara, D. S. (2011). The development of writing proficiency as a function of grade level: A linguistic analysis. Written Communication, 28(3), 282-311. https://doi.org/10.1177/0741088311410188

11 

Cuberos-Vicente, R. (2019). Indicadores léxicos de calidad textual en español nativo y no nativo [Tesis doctoral, Universitat de Barcelona]. https://diposit.ub.edu/dspace/handle/2445/178686

12 

Cuenca, M. J. (2013). The fuzzy boundaries between discourse marking and modal marking. En L. Degand, B. Cornillie y P. Pietrandrea (Eds.), Discourse markers and modal particles. Categorization and description (pp. 181-216). John Benjamins. https://doi.org/10.1075/pbns.234

13 

Field, A. (2009). Discovering statistics using SPSS (and sex and drugs and rock'n'roll) (3ª Ed.). SAGE Publications.

14 

Galiana-Bea, P., Gras-Manzano, P., Rosado, E., & Mañas-Navarrete, I. (2024). Marcadores discursivos y otros mecanismos de marcación discursiva. Una propuesta holística para el análisis de narraciones orales en español como lengua extranjera. Rilce, 40(3), 937-69. https://doi.org/10.15581/008.40.3.937-69

15 

Gavari-Starkie, E. I., & Tenca-Sidotti, P. (2017). La evolución histórica de los Centros de Escritura Académica. Revista de Educación, 378, 9-29. https://doi.org/10.4438/1988-592X-RE-2017-378-359; https://www.educacionfpydeportes.gob.es/revista-de-educacion/gl/dam/jcr:6b2bc342-a3f0-48dd-8148-0b3ee1a8fff5/01gavari-pdf.pdf

16 

Hyland, K. (2002). Teaching and researching writing. Longman/Pearson. https://doi.org/10.4324/9781003198451

17 

Johansson, V. (2009). Lexical diversity and lexical density in speech and writing: A developmental perspective. Working Papers Lund University, 53, 61-79. https://journals.lub.lu.se/LWPL/article/view/2273

18 

Llauradó, A., & Tolchinsky, L. (2013). Growth of text-embedded lexicon in Catalan: From childhood to adolescence. First Language, 33(6), 628-653. https://doi.org/10.1177/0142723713508861

19 

López-Ferrero, C., & Atienza-Cerezo, E. (2006). Las conjunciones paratácticas en el Corpus 92. En E. Bernal y J. A. DeCesaris (Eds.), Palabra por palabra: estudios ofrecidos a Paz Battaner (pp. 147-160). Universitat Pompeu Fabra, Institut Universitari de Lingüística Aplicada. http://hdl.handle.net/10230/23683

20 

MacWhinney, B. (2000). The CHILDES Project: Tools for analyzing talk (3ª Ed.). Erlbaum.

21 

Malvern, D., Richards, B., Chipere, N., & Durán, P. (2004). Lexical diversity and language development. Quantification and assessment. Palgrave MacMillan. https://doi.org/10.1057/9780230511804

22 

Martín-Zorraquino, M. A., & Portolés-Lázaro, J. (1999). Los marcadores del discurso. En I. Bosque, & V. Demonte (Eds.), Gramática descriptiva de la lengua española (Vol. 3, pp. 4051-4213). Espasa Calpe.

23 

McMaster, K., & Espin, C. (2007). Technical features of curriculum–based measurement in writing. The Journal of Special Education, 41(2), 68-84. https://doi.org/10.1177/00224669070410020301

24 

McNamara, D. S., Crossley, S. A., & McCarthy, P. (2010). Linguistic features of writing quality. Written Communication, 27(1), 57-86. https://doi.org/10.1177/0741088309351547

25 

Rosado, E., Mañas-Navarrete, I., Yúfera-Gómez, I., & Aparici-Aznar, M. (2021). El desarrollo de la escritura analítica: aprender a enlazar la información, aprender a posicionarse. Pensamiento Educativo, 58, 1-18. https://doi.org/10.7764/PEL.58.2.2021.10

26 

Salas, N., Llauradó, A., Castillo, C., Taulé, M., & Martí, M. A. (2016). Linguistic correlates of text quality from childhood to adulthood. En J. Perera, M. Aparici, E. Rosado, & N. Salas (Eds.), Written and spoken language development across the lifespan. Essays in honour of Liliana Tolchinsky (pp. 307-326). Springer. https://doi.org/10.1007/978-3-319-21136-7_18

27 

Schleppegrell, M. J. (2004). The language of schooling. a functional linguistics perspective. Lawrence Erlbaum. https://doi.org/10.4324/9781410610317

28 

Snow, C. E., & Uccelli, P. (2009). The challenge of academic language. En D. R. Olson y N. Torrance (Eds.), The Cambridge handbook of literacy (pp. 112-133). Cambridge University Press. https://doi.org/10.1017/CBO9780511609664.008; http://nrs.harvard.edu/urn-3:HUL.InstRepos:11654980

29 

Strömqvist, S., Johansson, V., Kriz, S., Ragnarsdóttir, H., Aisenman, R., & Ravid, D. (2002). Toward a cross-linguistic comparison of lexical quanta in speech and writing. Written Language and Literacy, 5(1), 45-67. https://doi.org/10.1075/wll.5.1.03str

30 

Tolchinsky, L., Aparici-Aznar, M., & Rosado, E. (2017). Escribir para pensar y persuadir. Textos de Didáctica de la Lengua y la Literatura, 76, 14-21. https://hdl.handle.net/2445/122119

31 

Tolchinsky, L., Aparici, M., & Vilar, H. (2021). Macro– and micro–developmental changes in analytical writing of bilinguals from elementary to higher education. International Journal of Bilingual Education and Bilingualism, 25(7), 2511-2526. https://doi.org/10.1080/13670050.2021.1923643

32 

Tolchinsky, L., Rosado, E., & Aparici, M. (2023). Internal and external appraisals of analytical writing. A proposal for assessing development and potential improvement. International Review of Applied Linguistics in Language Teaching, 62, 5-36. https://doi.org/10.1515/iral-2023-0012

33 

Toulmin, S. E. (2002). The uses of argument. Cambridge University Press. https://doi.org/10.1017/CBO9780511840005

34 

Uccelli, P. (2023). Midadolescents’ language learning at school: Toward more just and scientifically rigorous practices in research and education. Language Learning, 73(2), 182-221. https://doi.org/10.1111/lang.12558

35 

Uccelli, P., Deng, Z., Phillips-Galloway, E. P., & Qin, W. (2019). The role of language skills in midadolescents’ science summaries. Journal of Literacy Research, 51(3), 357-380. https://doi.org/10.1177/1086296X19860206

36 

Uccelli, P., Dobbs, C. L., & Scott, J. (2012). Mastering academic language: organization and stance in the persuasive writing of high school students. Written Communication, 30(1), 36-62. https://doi.org/10.1177/0741088312469013

37 

Zipf, G. K. (1932). Selected studies of the principle of relative frequency in language. Harvard University Press. https://pure.mpg.de/rest/items/item_2407800_3/component/file_2459540/content